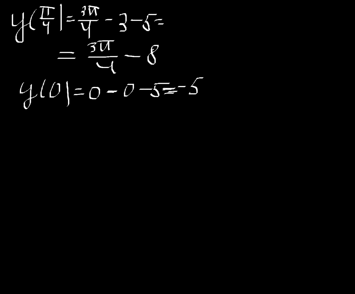
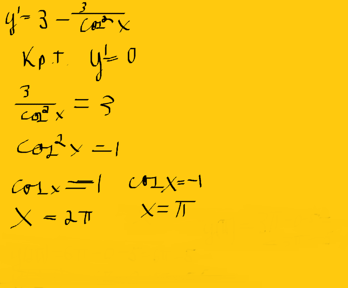
• Найдите наибольшее значение функции у = 3х - 3tgx - 5 на отрезке [0;пи/4]

Ответы 1

  • -5......................
    answer img
    answer img
    answer img
  • Добавить свой ответ

Еще вопросы

Войти через Google

или

Забыли пароль?

У меня нет аккаунта, я хочу Зарегистрироваться

How much to ban the user?
1 hour 1 day 100 years