• Помогите решить!!!!Пример с числовой последовательностью

    question img

Ответы 1

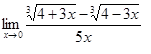
  • Так как у нас тут неопределенность 0/0, то можно попробовать найти предел по Лопиталю, т.е. посчитаем производные числителя и знаменателя.\frac{( (4+3x)^{ \frac{1}{3} } - (4-3x)^{ \frac{1}{3} })'}{(5x)'} = \frac{ \frac{1}{ (4+3x)^{ \frac{2}{3} } } + \frac{1}{ (4-3x)^{ \frac{2}{3} } } }{5}Предел этой дроби при икс стремящемся к нулю уже можно сразу посчитать \frac{ \frac{1}{ 4^{ \frac{2}{3} } } +  \frac{1}{ 4^{ \frac{2}{3} } } }{5}  =  \frac{2}{5* 4^{ \frac{2}{3} } } =  \frac{1}{5* \sqrt[3]{2} }
  • Добавить свой ответ

Войти через Google

или

Забыли пароль?

У меня нет аккаунта, я хочу Зарегистрироваться

How much to ban the user?
1 hour 1 day 100 years