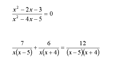
• привет люди решил я эти два уравнения, но не уверен верно ли 
    в пером уравнение ответ у меня получился -1 
    во втором 2 .
    решите эти 2 уравнения и пожалуйста распишите
    если  я все пойму с меня "спасибо" + лучший ответ ;)

    question img

Ответы 5

  • а у тебя знаменатель не должен равняться 0
    • Автор:

      nguyen
    • 6 лет назад
    • 0
  • и решать ты можешь как хочешь
  • во втором находишь общи знаменатель и все
    • Автор:

      jess
    • 6 лет назад
    • 0
  • спасибо, лучший не могу поставить так как ты одна ответила пока) ну ок спасибо
  • там дальше x<>0 x<>5 x<>-4
  • Добавить свой ответ

Войти через Google

или

Забыли пароль?

У меня нет аккаунта, я хочу Зарегистрироваться

How much to ban the user?
1 hour 1 day 100 years