• привет всем решите мне пожалуйста эти 2 уравнения!
    пожалуйста распишите как можно подробнее
    P.S с меня обязательно "спасибо" и кто все разъяснит + лучший ответ)!

    question img

Ответы 1

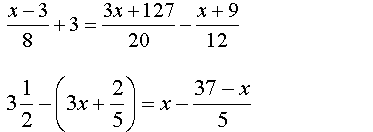
  • 1 уравнение.Наименьший общий знаменатель уравнения = 120. В результате приведения уравнения к общему знаменателю получаем:15(х - 3) + 120* 3 = 6 (3х + 127) - 10 (х + 9)15х - 45 + 360 = 18х + 762 - 10х - 9015х - 18х + 10х = 762 - 90 - 360 + 457х = 357х = 512 уравнение.7/2 - 3х - 2/5 = х - (37 - х)/ 5Общий знаменатель 1035 - 30х - 4 = 10х - 74 + 2х-30х - 10х - 2х = -74 - 35 + 4-42х = - 105 42х = 105х = 2,5
    • Автор:

      ryanngxdj
    • 6 лет назад
    • 0
  • Добавить свой ответ

Еще вопросы

Войти через Google

или

Забыли пароль?

У меня нет аккаунта, я хочу Зарегистрироваться

How much to ban the user?
1 hour 1 day 100 years