• помогите пожалуйста ) только если не сложно со всем решением.заранее спасибо 

    question img

Ответы 1

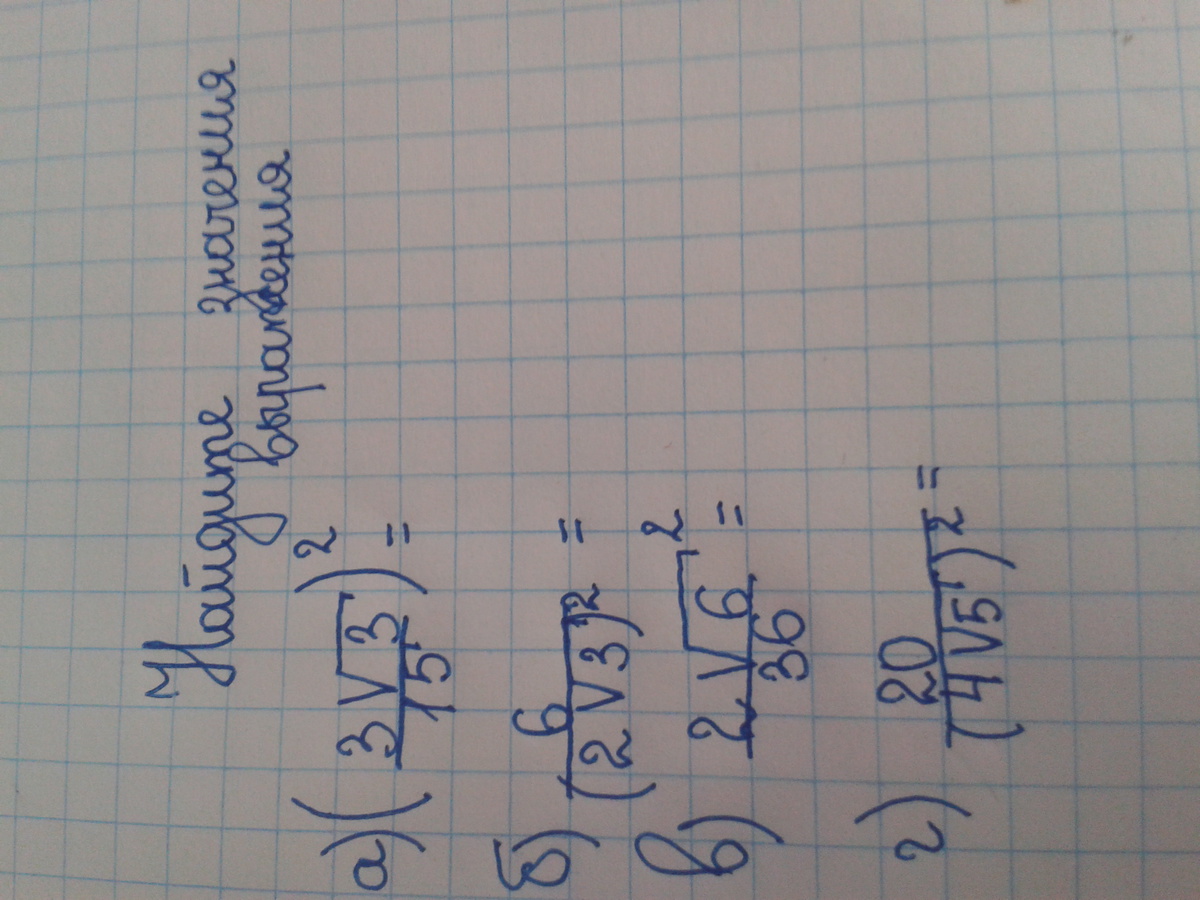
  • а)  (3√3)²=3²·(√3)²=9·3=27     (3√3)²/15=27/15=9/5=1,8б) (2√3)²=2²·(√3)²=4·3=12   6/(2√3)²=6/12=1/2=0.5в) (2√6)²=2²·(√6)²=4·6=24   (2√6)²/36=24/36=2/3г) (4√5)²=4²·(√5)=16·5=80   20/(4√5)²=20/80=1/4
    • Автор:

      jellynv7n
    • 6 лет назад
    • 0
  • Добавить свой ответ

Войти через Google

или

Забыли пароль?

У меня нет аккаунта, я хочу Зарегистрироваться

How much to ban the user?
1 hour 1 day 100 years