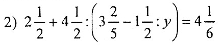
• Решите пример 6 класс...(По действиям).

    question img

Ответы 1

  • 1)2 1/2+4 1/2=7  2)7:(3 2/5-1 1/2:у)=4 1/6  3)3 2/5-1 1/2:у=7:4 1/6  4)3 2/5-1 1/2:у=1 17/ 25   5)   1 1/2:у=3 2/5-1 17/ 25= 1 13/25  6)у=1 1/2:1 13/25  у=75/76
  • Добавить свой ответ

Войти через Google

или

Забыли пароль?

У меня нет аккаунта, я хочу Зарегистрироваться

How much to ban the user?
1 hour 1 day 100 years