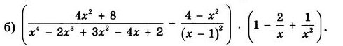
Упростите выражение:
текст вставлен.Помогите пожалуйста!
Предмет:
МатематикаАвтор:
abby============================================
Автор:
honey locksДобавить свой ответ
как будет по английски я вернусь вовремя
Предмет:
Английский языкАвтор:
gabriellaОтветов:
Смотреть
Почему в компьютерах используется двоичная знаковая система для кодирования информации?
Предмет:
ИнформатикаАвтор:
caesari7cjОтветов:
Смотреть
Предмет:
Русский языкАвтор:
zoee3nnОтветов:
Смотреть
Предмет:
ЛитератураАвтор:
donovansu7zОтветов:
Смотреть