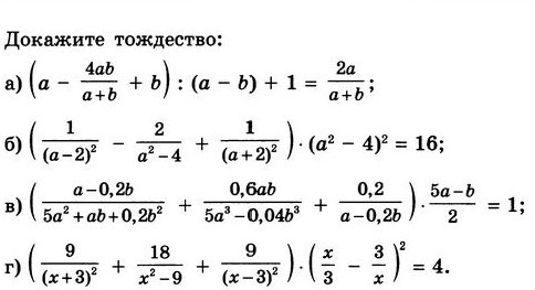
Помогите пожалуйста!!!
текст вставлен. только б и г.
Предмет:
МатематикаАвтор:
emiliano972==========================================================
Автор:
bennett98Добавить свой ответ
№ 1 Фирма платит рекламному агентству 5 % от стоимости заказа. На какую сумму агент должен найти заказ,чтобы заработать 1000 рублей? № 2 Среднее арифметическое шести чисел равно 11. Одно число вычеркнули,и среднее арифметическое нового ряда стало 12. Найдите вычеркнутое число.
1)11% его составляют 14,5% от 22?
2)найти х из пропорции
3)решить уравнение
Предмет:
АлгебраАвтор:
kolbyhuffmanОтветов:
Смотреть
кукла, назвать, наслндник фонет рабор
Предмет:
Русский языкАвтор:
alainaОтветов:
Смотреть
что необходимо для организации производства?
Предмет:
ОбществознаниеАвтор:
phoebecsrkОтветов:
Смотреть