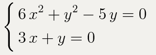
Система:
6x²+y²-5y=0
3x+y=0
Примечания:
*x^(2) - ИКС КВАДРАТ
Предмет:
МатематикаАвтор:
guadalupey = -3x
6x^2 + 9x^2 +15x = 0
y = -3x
15x^2 +15x = 0
y = -3x
15x(x+1) = 0
y = -3x
15x = 0 или x+1 = 0
y = -3x
x = 0 или x = -1
y = -3 * 0 или y = -3 * (-1)
x = 0 или x = -1
y = 0 или y = 3
x = 0 или x = -1
ответ можно записать так: (0;0) и (-1;3).
Автор:
frankiedanielДобавить свой ответ
23,5(12) в обыкновенную дробь. умоляю)))
Исаакевский Собор=10,5 м. Колокольня Ивана Великого=81 м. Найдите разницу высот и запишите её значение в единицах СИ. ЛЮДИ,ПОМОГИТЕ ПОЖАЛУЙСТА С ЭТИМ ЗАДАНИЕМ!ЗАВТРА СДАТЬ НУЖНО. ПРОШУ,ПОМОГИТЕ!
Предмет:
ФизикаАвтор:
broderick8lngОтветов:
Смотреть
Предмет:
АлгебраАвтор:
kailablevinsОтветов:
Смотреть
Предмет:
ФизикаАвтор:
creedence0gcqОтветов:
Смотреть