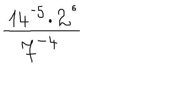
Помогите решить: ...............................
Предмет:
МатематикаАвтор:
airesmartinez---------------------------------------------------------------------
Автор:
dee dee65xqДобавить свой ответ
диалог с бабушкой после школьного дня выражающие просьбу
Предмет:
Русский языкАвтор:
scarlettci7lОтветов:
Смотреть
помогите понять как определить спряжение глаголов
Предмет:
Русский языкАвтор:
kendrick9tjbОтветов:
Смотреть
Через 1л 18% раствора сульфата меди ( плотность 1,12 г/мл пропустили 23,2 л сероводорода . Вычислите массу полученного осадка.
помогите решить уравнение (24+х)-21=10
Предмет:
МатематикаАвтор:
princeОтветов:
Смотреть