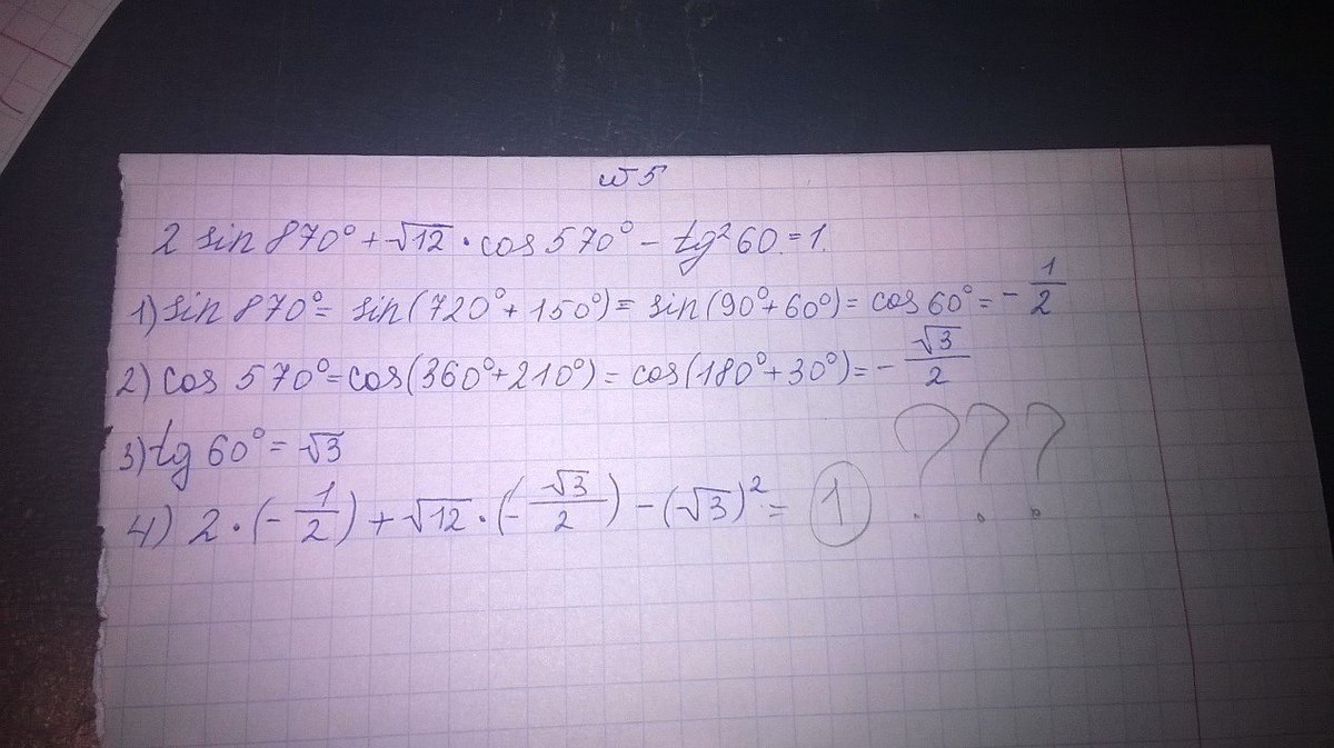
• Помогите решить пример, 4 действие (если оно конечно правильное). Ответ вроде как должен быть 1

    question img

Ответы 4

  • Спасибо, но ответ должен получиться 1, значит что-то в решение не правильно
    • Автор:

      bo2
    • 6 лет назад
    • 0
  • синус 870 равен 1 деленной на 2, без минуса
  • Да там я не заметила..а остальное все верно
    • Автор:

      koda
    • 6 лет назад
    • 0
  • 2*(1\2)+√12*(-√3\2) -√3²=1-√12*√3\2-3=-2-√12*3\2=-2-√36\2=-2-6\2=-2-3=-5
    • Автор:

      emmygske
    • 6 лет назад
    • 0
  • Добавить свой ответ

Войти через Google

или

Забыли пароль?

У меня нет аккаунта, я хочу Зарегистрироваться

How much to ban the user?
1 hour 1 day 100 years