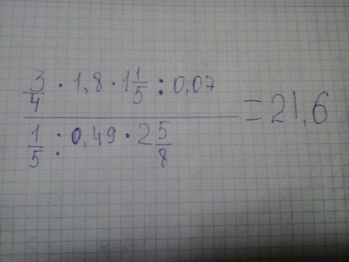
• Здравствуйте! Помогите мне пожалуйста с математикой 6 класс "ДРОБНЫЕ ВЫРАЖЕНИЯ" не могу решить , если вы сможете решить объясните пожалуйста умоляю! язнаю ответ это 21, 6.
    но я не знаю решение помогитее плиз

    question img

Ответы 9

  • Если не понятно откуда в решении взялось 2,625:)
  • не понятно
    • Автор:

      sáez1loi
    • 6 лет назад
    • 0
  • 1/8=0,125, а 5/8=0,125*5=0,625. Ну и 2 не забудем прибавить
    • Автор:

      nala32
    • 6 лет назад
    • 0
  • простите, я сама ошиблась все понятно
    • Автор:

      karla
    • 6 лет назад
    • 0
  • ;)
  • а почему умножаем 1000?
  • Потому что самое большое кол-во цифр за запятой - 3, а в 1000 три ноля.
    • Автор:

      goldie
    • 6 лет назад
    • 0
  • Две целых пять восьмых = 2,6251)0,75*1,8=1,352)1,35*1,2=1,623)1,62/0,07=1,62*(100/7)=162/74)0,2*2,625=0,5255)0,525/0,49=0,525*(100/49)=52,5/496)(162/7)/(52,5/49)=(162/7)*(49/52,5)=21,6
    • Автор:

      elliscjdb
    • 6 лет назад
    • 0
  • 1) Переводим все смешанные дроби в одну, неправильную дробь.2) Переводим получившиеся непр. дроби в десятичные (числитель:знаменатель)4) Избавляемся от дробности.3) По возможности, сокращаем дроби.4) Умножаем оставшиеся, получаем результат.Решение на данном примере:1) 3/4 = 3:4 = 0,75; 1 1/5 = 6/5 = 6:5 = 1,2; 1/5 = 1:5 = 0,2; 2 5/8 = 21/8 = 21:8 = 2, 6252) Итого выходит: 0,75*1,8*1,2:0,07________________0,2:0,49*2,625Избавляемся от дробности: умножаем каждую дробь на 1000. Итого:750*180*120:7=750*180*120:1=30*180*120:1=20:49*2625=20:7*2625=20:7*105=Сокращаем: 7 и 49 на 7 = 1(7:7) и 7(49:7)750 и 2625 на 25 = 30(750:25) и 105(2625:25)И так далее. Надеюсь, понятно? Дальше можно сократить 120 и 20 на 20(6,1); 180 и 105 на 5...
    • Автор:

      backbone
    • 6 лет назад
    • 0
  • Добавить свой ответ

Войти через Google

или

Забыли пароль?

У меня нет аккаунта, я хочу Зарегистрироваться

How much to ban the user?
1 hour 1 day 100 years