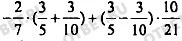
• -2/7 * (3/5 + 3/10) + (3/5-3/10) * 10/21 решите по действиям

    question img

Ответы 1

  • -2/7 * (3/5 + 3/10) + (3/5-3/10) * 10/21=-4/351)3/5 + 3/10=6/10+3/10=9/102)3/5-3/10=6/10-3/10=3/103)-2/7*9/10=-18/704)3/10*10/21=3/21=1/75)-18/70+1/7=-18/70+10/70=-8/70=-4/35
    • Автор:

      oto50k4
    • 6 лет назад
    • 0
  • Добавить свой ответ

Войти через Google

или

Забыли пароль?

У меня нет аккаунта, я хочу Зарегистрироваться

How much to ban the user?
1 hour 1 day 100 years