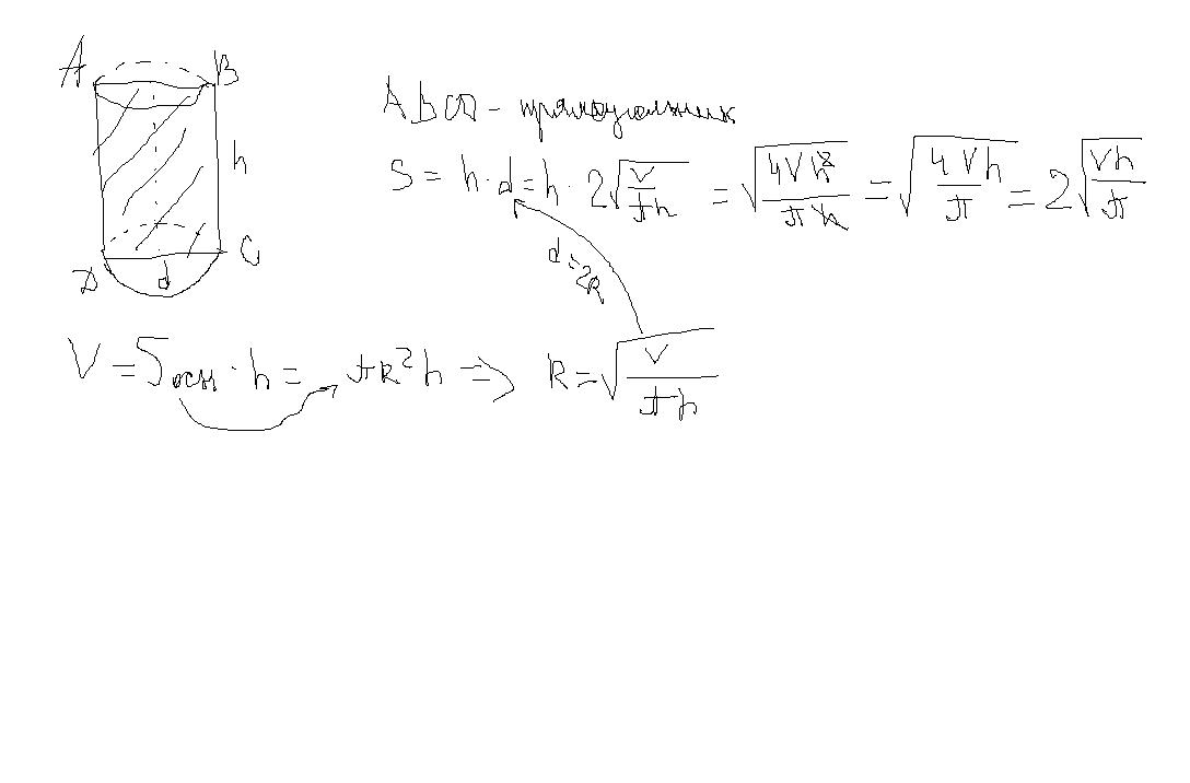
• Объём цилиндра равен V , а его высота-H . Найдите площадь осевого сечения цилиндра. В ответе должно получиться S = 2√H×V/Π
    Заранее благодарствую

Ответы 1

  • решение в приложении
    answer img
  • Добавить свой ответ

Войти через Google

или

Забыли пароль?

У меня нет аккаунта, я хочу Зарегистрироваться

How much to ban the user?
1 hour 1 day 100 years