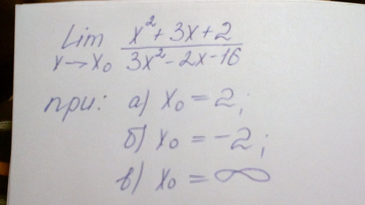
•  Помогите, пожалуйста, найти неопределенность вида 0/0
    lim x=>0 x^+3x+2/3x^-2x-16 при: x=2, x=-2,x=бесконечность

    question img

Ответы 1

  • Cпасибо ОГРОМНОЕ
    • Автор:

      sammyb0yf
    • 6 лет назад
    • 0
  • Добавить свой ответ

Войти через Google

или

Забыли пароль?

У меня нет аккаунта, я хочу Зарегистрироваться

How much to ban the user?
1 hour 1 day 100 years