• Пожалуйста , помогите решить показательную систему уравнений

    question img

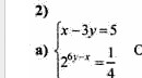
Ответы 1

  • {х=5+3у2^(6-5-3y)=2^(-2)1-3y=-2{y=1x=5+3ответ: (8;1)
  • Добавить свой ответ

Еще вопросы

Войти через Google

или

Забыли пароль?

У меня нет аккаунта, я хочу Зарегистрироваться

How much to ban the user?
1 hour 1 day 100 years