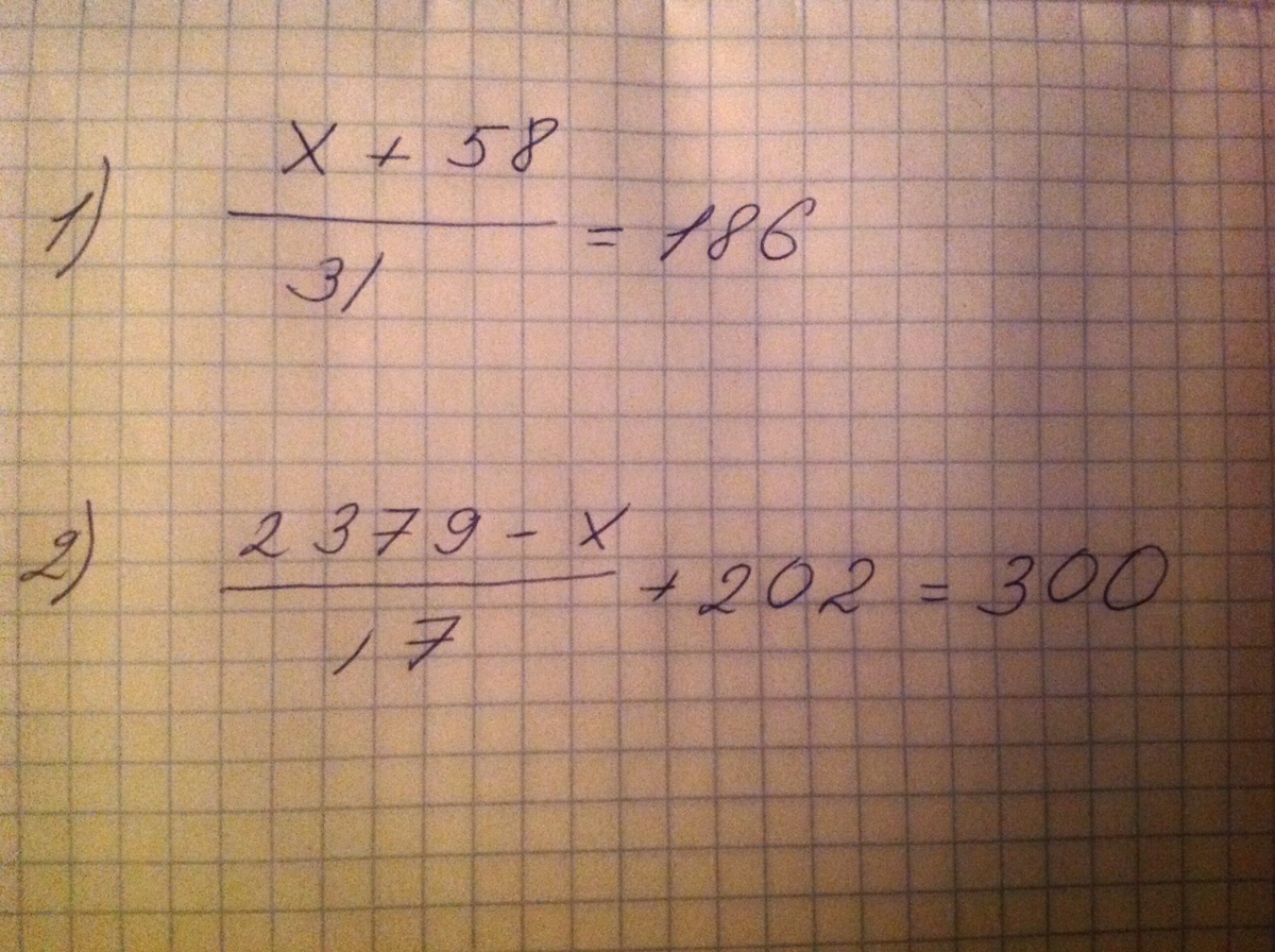
• Помогите решить уравнение подробно на фото! Учусь в пятом классе. Заранее спасибо.

    question img

Ответы 1

  • эх, улетели цифры, 186/1 это вторая дробь там. а внизу 98/1
    • Автор:

      kasonievm
    • 6 лет назад
    • 0
  • Добавить свой ответ

Еще вопросы

Войти через Google

или

Забыли пароль?

У меня нет аккаунта, я хочу Зарегистрироваться

How much to ban the user?
1 hour 1 day 100 years