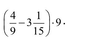
• Найдите значения выражения
    Решите подробно пожалуйста

    question img

Ответы 4

  • мне нужно подробно все расписать у меня ответ не получается
    • Автор:

      jimenez
    • 6 лет назад
    • 0
  • (4/9-46/15)*9=(находим общий знаменатель для 4/9 и 46/15)=(20/45-138/45)*9=-118/45*9/1=-118/5=-23,6
    • Автор:

      honey9
    • 6 лет назад
    • 0
  • спасибо
    • Автор:

      pipershfz
    • 6 лет назад
    • 0
  • -23,6. сначала раскрыть скобки нужно, потом перемножить. Вроде так.
  • Добавить свой ответ

Войти через Google

или

Забыли пароль?

У меня нет аккаунта, я хочу Зарегистрироваться

How much to ban the user?
1 hour 1 day 100 years