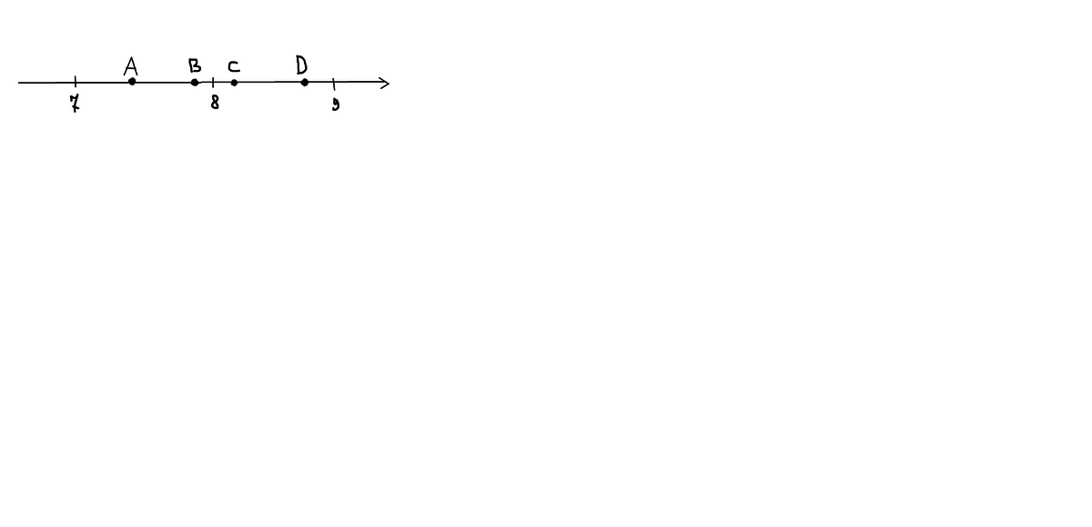
• Одна из точек, отмеченных на координатной прямой, соответствует числу √68. Какая это точка?
    СМ. РИСУНОК
    1) Точка А
    2) Точка B
    3) Точка С
    4) Точка D

    question img

Ответы 1

  • Посмотрим на приблизительные значения точекA B между 7 и 8 C D между 8 и 9А 7,4B 7,9C 8,2D 8,88 < √68 < 9√64 < √68 < √81√68 ближе к 8 ≈ 8.2 это точка С ответ 3
  • Добавить свой ответ

Войти через Google

или

Забыли пароль?

У меня нет аккаунта, я хочу Зарегистрироваться

How much to ban the user?
1 hour 1 day 100 years