• Упростите выражение, пожалуйста, срочно! Распишите подробно 

    question img

Ответы 1

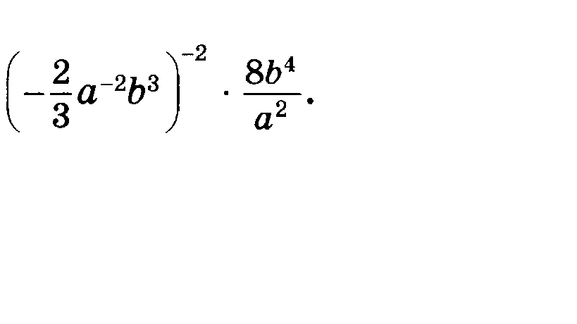
  • =1/(-2/3 *a^(-2)*b³)² * 8b^4/a² =9/4*a^4*/b^6*8b^4/a² = 18a²/b² .
    • Автор:

      jessie
    • 6 лет назад
    • 0
  • Добавить свой ответ

Войти через Google

или

Забыли пароль?

У меня нет аккаунта, я хочу Зарегистрироваться

How much to ban the user?
1 hour 1 day 100 years