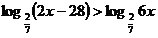
Подскажите область определения данного неравенства. А то я его решил, а преподаватель поставил минус и написал мол где ООН.
Предмет:
АлгебраАвтор:
snow white2x-28>0 в пересечении 6x>0
2x>28 x>0
x>14 x>0 получаем x>14
т.к. 2/7 ,<1 знак неравенства меняется имеем 2x-28<6x
-4x<28 x>-7 учитывая ООН x>14
Автор:
chanceandrewsДобавить свой ответ
подобрать 5 скороговорок со звуками ж ч ш щ
Предмет:
Русский языкАвтор:
aubreyОтветов:
Смотреть
СРОЧНО НАДО СДЕЛАТЬ ЛИТЕРАТУРУ!!! НА ЗАВТРА!!!
Нужно сравнить поведение Жилина и Костылина из рассказа КАВКАЗКИЙ ПЛЕННИК!!!
Кто ПЕРВЫЙ решит поставлю ЛУЧШЕЕ РЕШЕНИЕ!!!
Предмет:
ЛитератураАвтор:
gummi bearОтветов:
Смотреть
СРОЧНО, ПОЖАЛУСТА, НАПИШИТЕ,КТО-НИБУДЬ, ОЧЕНЬ НАДО, БУДУ ОЧЕНЬ БЛАГОДАРНА!Я УЖЕ 40 РАЗ ЭТО ЗАДАНИЕ ПОСЫЛАЮ, НАПИШИТЕ КТО-НИБУДЬ, ЛЮДИИ!!! ТОЛЬКО ПРАВИЛЬНО, КТО, ЧТО ЗНАЕТ! 10 ПУНКТОВ ОТДАМ!
№1 а) cos 260(градусов)*(умножить) sin 190(градусов); б) cos 350(градусов) * tg(-100градусов); в) sin2* cos 3,5; №2 Какой знак имеет(<, >) а)sin 230(градусов) б) cos170; в) tg 330; г)ctg(-220); д) cos 3 sin 13П в числителе, в знаменателе 8. Например, писать так sin 140 > 0 140-угол 2 четверти
однокоренные слова к слову КОТ
Предмет:
Русский языкАвтор:
shaynalecnОтветов:
Смотреть