1.Решите уравнение:5х-2=3//2(три вторых)х+1,5(фото внизу)
2.В классе мальчиков в два раза больше, чем девочек.Если из этого класса уйдут два мальчика и придут две девочки, то девочек будет на 6 меньше, чем мальчиков. Сколько учеников в данном классе?
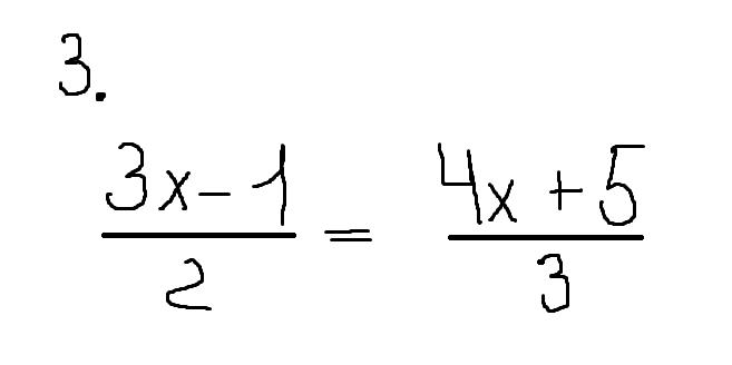
3.Решите уравнение(фото ниже)
1.
5x-2=1,5x+1,5
5x-1,5x=1,5+2
3,5x=3,5
x=1
2.
Девочек-х
Мальчиков-2х
Составляем уравнение:
2х-2-х-2=6
х=10-девочек.
2)10*2=20 мальчиков
3)20+10=30 учеников.
Ответ:30.
3.
Тут у нас пропорция, а значит перемножаем числитель одной дроби на знаменатель другой(то есть крест-на-крест)
3(3х-1)=2(4х+5)
9х-3=8х+10
х=13
Обращайся!
Автор:
dulcesantiagoДобавить свой ответ
Что такое запорожьская сечь..объяснить раскрыто и не текстом а в двух предложениях
Предмет:
ЛитератураАвтор:
charleedunlapОтветов:
Смотреть
PLEASE,HELP ME! Напишите, пожалуйста, небольшое эссе на тему что-то типо Вы за или против того,чтобы животных держали в зоопарке
Предмет:
Английский языкАвтор:
midgeОтветов:
Смотреть
решить уравнение (567897-t)*6001-311619928=0
Предмет:
МатематикаАвтор:
kaylaclaytonОтветов:
Смотреть
помогите пожалуйста (( y = 1/2 х^2+3x если абсцисса касания x0= 1
Предмет:
МатематикаАвтор:
kamaricolonОтветов:
Смотреть