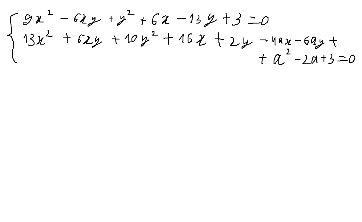
• Найдите все значения параметра а, при каждом из которых следующая система уравнений имеет хотя бы одно решение.

    question img

Ответы 5

  • Я извиняюсь, что позабыл написать про это.
  • Впрочем, я уже решил эту задачу!
    • Автор:

      tarsicio
    • 6 лет назад
    • 0
  • Большое спасибо за другой способ решения. Будет, с чем сравнивать ;)
    • Автор:

      marcelo69
    • 6 лет назад
    • 0
  • никаких геометрических интерпретаций здесь особа не наблюдается , если вы про упомянутый на строку "Эллипс" то он тут ради того чтобы пояснить почему именно данный отрезок [2-3√2/3 3√2+2/3] принадлежит решению , существование другого решения скажем так " не геометрического" я не отрицаю . Не за что !
  • Извините, я просто не знакомился глубоко ещё с Вашим решением. Сейчас познакомлюсь, тогда смогу сказать определённо
    • Автор:

      gizmo29
    • 6 лет назад
    • 0
  • Добавить свой ответ

Войти через Google

или

Забыли пароль?

У меня нет аккаунта, я хочу Зарегистрироваться

How much to ban the user?
1 hour 1 day 100 years