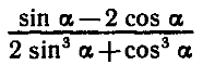
• Легкое за 50 баллов! Известно, что tga=2, найдите
    (легкое, сверить ответ)

    question img

Ответы 6

  • сейчас
    • Автор:

      doobie
    • 6 лет назад
    • 0
  • http://znanija.com/task/12144804
    • Автор:

      nevaeh
    • 6 лет назад
    • 0
  • http://znanija.com/task/12142497
  • http://znanija.com/task/12145462
    • Автор:

      ericovp84
    • 6 лет назад
    • 0
  • http://znanija.com/task/12145389
    • Автор:

      jet
    • 6 лет назад
    • 0
  • Ответ 0. Давайте разделим числитель и знаменатель дроби на cos x. Что в знаменателе, нас не интересует. нас интересует числитель.sina / cos a - 2 = tga - 2 = 2 - 2 = 0
    • Автор:

      bumpkin
    • 6 лет назад
    • 0
  • Добавить свой ответ

Еще вопросы

Войти через Google

или

Забыли пароль?

У меня нет аккаунта, я хочу Зарегистрироваться

How much to ban the user?
1 hour 1 day 100 years