• Объясните, пожалуйста.
    Тема: Решение квадратных неравенств.
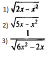
    Я не могу понять, когда какой знак нужно выбрать. Строгий или нестрогий, больше или меньше. Как определить по этим выражениям?
    1 и 3 решать не нужно, только 2.

    question img

Ответы 1

  • 5x - x² ≥ 0x(5 - x) ≥ 0x(x - 5) ≤ 0корни (0) и (5), парабола, ветви вверх,решение "между корнями"0 ≤ x ≤ 5неравенство строгое, если выражение в знаменателе (т.к. на ноль делить нельзя)))под корнем ноль допустим --- потому и неравенство НЕстрогое
    • Автор:

      luca57
    • 6 лет назад
    • 0
  • Добавить свой ответ

Войти через Google

или

Забыли пароль?

У меня нет аккаунта, я хочу Зарегистрироваться

How much to ban the user?
1 hour 1 day 100 years