ПОМОГИТЕ!
Верно ли тождество?
Вложения внутри)
Предмет:
АлгебраАвтор:
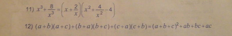
juliettepoole10)x^3+8/x^3=(x+2/x)(x^2+4/x^2-4) (не верно: в правой части вместо (x^2+4/x^2-4) должно быть (x^2+4/x^2-2)11)(a+b)(a+c)+(b+a)(b+c)+(c+a)(c+b)=(a+b+c)^2+ab+bc+ac (не верно: в правой части должно быть a^2+b^2+c^2+3(ab+bc+ac)
кенгуру))
Автор:
carsencuevasДобавить свой ответ
Дополни текст своим рассуждением о роли колеса в жизни людей .
Предмет:
Русский языкАвтор:
bosleyОтветов:
Смотреть
Предмет:
Русский языкАвтор:
laura39Ответов:
Смотреть
Площадь прямоугольного треугольника 180см^2.Найдите катеты треугольника ,если их сумма 39 см Помогите плллллиииииииззззз знаю то что там должно получится 15дм и 24дм
Запишите уравнение окружности с центром в очке S и радиусом r ,учитывая,что:
S(-2;6),r=7