• Решите, пожалуйста .. не понимаю.. если можно, то подробно

    question img

Ответы 2

  • решение во вложениииииииииииииииииииииииииииииииии
    answer img
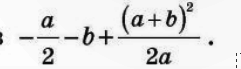
  • -a/2 - b +(a+b)²/2a=(-a²-2ab+a²+2ab+b²)2a=b²/2a
    answer img
    • Автор:

      thor
    • 6 лет назад
    • 0
  • Добавить свой ответ

Войти через Google

или

Забыли пароль?

У меня нет аккаунта, я хочу Зарегистрироваться

How much to ban the user?
1 hour 1 day 100 years