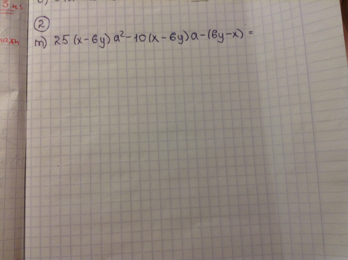
• ПОМОГИТЕ ПОЖАЛУЙСТА! 1 пример. Нужно разложить его на множители.

    question img

Ответы 6

  • (х-6у)
    • Автор:

      juicyyswv
    • 6 лет назад
    • 0
  • (6y-x) а эта скобка куда денется?
  • сокращается, а перед 3-ей скобой стоит "-" - это значит, что знаки в скобке меняются на противоположные
    • Автор:

      fátima80
    • 6 лет назад
    • 0
  • спасибо!!:))
    • Автор:

      kerr
    • 6 лет назад
    • 0
  • приятно делать добро:D
    • Автор:

      dracula
    • 6 лет назад
    • 0
  • 25а^2-10а вот и весь ответ
  • Добавить свой ответ

Войти через Google

или

Забыли пароль?

У меня нет аккаунта, я хочу Зарегистрироваться

How much to ban the user?
1 hour 1 day 100 years