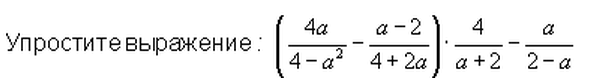
Смотри вложение *************************************
Автор:
raindropgtmwДобавить свой ответ
Подскажите кто был друзьями Лермонтова??
Предмет:
ЛитератураАвтор:
hugomossОтветов:
Смотреть
Предмет:
ХимияАвтор:
finleykaksОтветов:
Смотреть
Решите треугольник ABC , если угол B=30градусов, угол C=105градусов,AC=4см
Предмет:
ГеометрияАвтор:
bootsalvarezОтветов:
Смотреть
Крассула определите побег, лист, почку. Вид побега, тип листа, жилкование, видоизменение листа. . Найдите место верхушечной и боковой почки. ПОМОГИТЕ ПОЖАЛУЙСТА ОЧЕНЬ НАДО!!!!!!!