• Помогите с решением иррациональных уравнений под номером 2,3 (во вложении).
    Щедро вознаграждаю баллами.
    Спасибо большое.

    question img

Ответы 2

  • Решение смотри в приложении
    answer img
    • Автор:

      holden265
    • 6 лет назад
    • 0
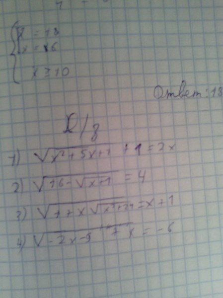
  • √16 - √x + 1 = 416 - √x + 1= 4²- √x + 1 = 16 - 16x + 1 = 0²x= - 1Ответ: x = - 1.1 + x √ x² + 24 = (x + 1)(x + 1)1 + x√x² + 24 = x² + 2x + 1x√x² + 24 = x² + 2x + 1 - 1x√x² + 24 = x² + 2xx² × (x² + 24 )= (x² + 2x)(x² + 2x)x⁴ + 24x² = x⁴ + 4x³ + 4x²x⁴ + 24x² - x⁴ - 4x³ - 4x² = 0- 4x³ + 20x² = 04x³ - 20x² = 04x²(x - 5) = 04x² = 0x² = 0x = 0x - 5 = 0x = 5Ответ: x1 = 0, x2 = 5.
    answer img
  • Добавить свой ответ

Еще вопросы

Войти через Google

или

Забыли пароль?

У меня нет аккаунта, я хочу Зарегистрироваться

How much to ban the user?
1 hour 1 day 100 years