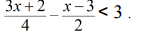
• знайдіть найбільший цілий розв'язок нерівності

    question img

Ответы 6

  • знак деления ( дробь) 
    • Автор:

      joan94
    • 6 лет назад
    • 0
  • спасибо
    • Автор:

      areli6n1q
    • 6 лет назад
    • 0
  • Ты можешь проверить решение - подставив число 3 в уравнение и тогда у тебя получится 11/4 < 3 2.75 < 3 
  • спасибо но все равно не пойму как писать 
    • Автор:

      buckeye
    • 6 лет назад
    • 0
  • не пойму как дробью записать
    • Автор:

      ritapfa8
    • 6 лет назад
    • 0
  • 3х+2/4-2x-6/4 < 3 x+8/4< 3 x-4/4<0x<4Отже, найбільший цілий розв'язок х = 3Відповідь : 3
  • Добавить свой ответ

Войти через Google

или

Забыли пароль?

У меня нет аккаунта, я хочу Зарегистрироваться

How much to ban the user?
1 hour 1 day 100 years