• Помогите пожалуйста, прошу

    дам 24 балла

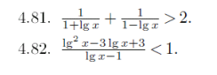
    question img

Ответы 1

  • 1ОДЗx>0lgx=a1/(1+a)+1/(1-a)-2>0(1-a+1+a-2+2a²)/(1+a)(1-a)>0(2a²+2)/(1+a)(1-a)>02a²+2>0 при любом а⇒(1+a)(1-a)>0-1<a<1⇒-1<lgx<1⇒0,1<x<10Ответ x∈(0,1);10)2x>0lgx=a(a²-3a+3)/(a-1)-1<0(a²-3a+3-a+1)/(a-1)<0(a²-4a+4)/(a-1)<0(a-2)²/(a-1)<0a=2  a=1             _                    +                  +------------------(1)--------------(2)-------------------a<1⇒lgx<1⇒x<10Ответ x∈(0;10)
  • Добавить свой ответ

Еще вопросы

Войти через Google

или

Забыли пароль?

У меня нет аккаунта, я хочу Зарегистрироваться

How much to ban the user?
1 hour 1 day 100 years