• Задания 10 класса на фото, помогите, пожалуйста.
    Вычислите:

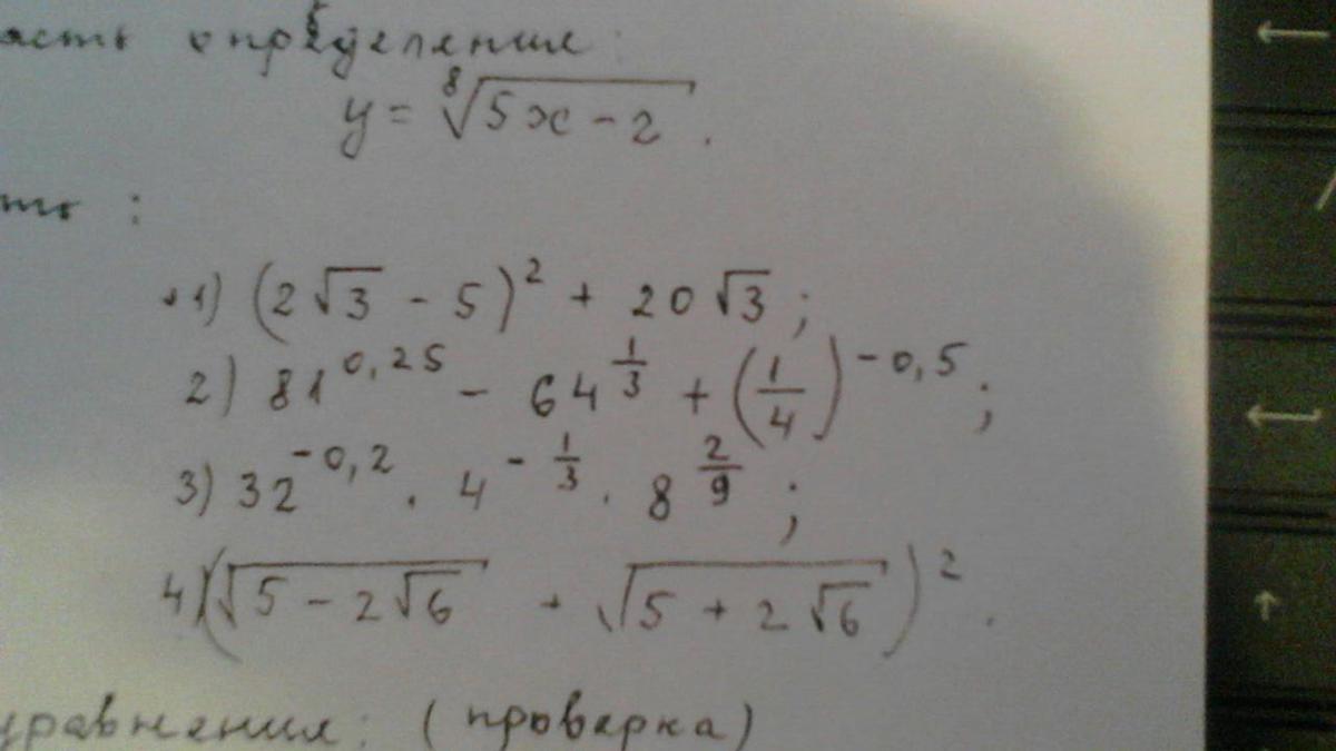
    question img

Ответы 2

  • 1) чуток подправил. отметь лучшим
    • Автор:

      shannon
    • 6 лет назад
    • 0
  • 1)4*3-20√3+25+20√3=132) (3^{ 4)^{0,25}} - (4^{ 3)^{ \frac{1}{3}}} +   (\frac{1}{2} ^{2} )^{-0.5}} =3-4+2=13) 2^{-1} * 2^{- \frac{2}{3} } *2^{\frac{2}{3} }= \frac{1}{2} 4)5-2√6+2√((5-2√6)(5+2√6))+5+2√6=10+2√(25-24)=10+2=12
    • Автор:

      magnolia
    • 6 лет назад
    • 0
  • Добавить свой ответ

Еще вопросы

Войти через Google

или

Забыли пароль?

У меня нет аккаунта, я хочу Зарегистрироваться

How much to ban the user?
1 hour 1 day 100 years