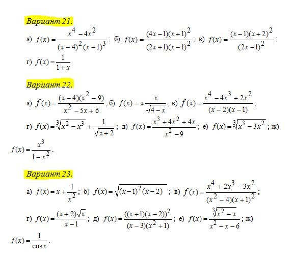
помогите решить пожалуйста! надо найти производные.... (сдавать завтра утром)
Предмет:
АлгебраАвтор:
reynaeatonрешение смотри во вложении
Автор:
annie36Добавить свой ответ
Кузнечик может прыгнуть вдоль координатного луча либо на 5 единиц вправо, либо на 3 единицы влево. Он начинает прыгать из начала координат, и хочет оказаться в точке с координатой 71. Какое наименьшее число прыжков ему понадобится сделать? С решением. Плизззззззз:)))))))
Предмет:
МатематикаАвтор:
booneОтветов:
Смотреть
4часа 15 минут=.....мин
3060грамм=....3 кг .....грамм
1230дм2=....м2....дм2
527с=....мин...секунд
Сочинение на тему:"Мой идеал" 5-10 предложений
Предмет:
ОбществознаниеАвтор:
maximilian378Ответов:
Смотреть
Предмет:
Английский языкАвтор:
americaballardОтветов:
Смотреть