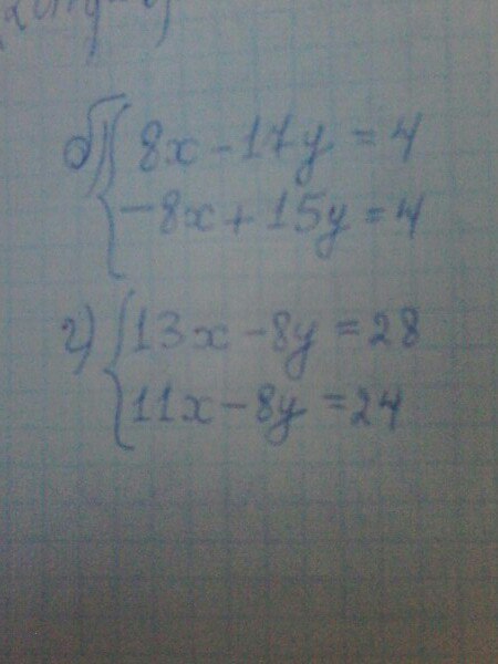
• простите за плохое кач-во. помогите, пожалуйста, решить систему уравнений

    question img

Ответы 1

  • 1) {8х-17у=4{-8х+15у=4-2у=8у=-4-8х-60=4-8х=64х=-82) {13х-8у=28      /х(-1){11х-8у=24{-13х+8у=-28{11х-8у=24-2х=-4х=222-8у=24-8у=2у=-2/8=-1/4
  • Добавить свой ответ

Еще вопросы

Войти через Google

или

Забыли пароль?

У меня нет аккаунта, я хочу Зарегистрироваться

How much to ban the user?
1 hour 1 day 100 years