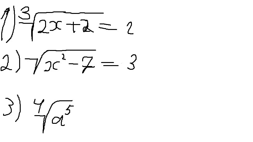
• решите пожалуйста можно еще с подробным решением и 3 там надо вынести множитель из под корня

    question img

Ответы 2

  • спасибо большое очень помог
    • Автор:

      león82
    • 6 лет назад
    • 0
  • в первом непонятно: то ли+7, то ли +2. Сделал так и так
    answer img
    • Автор:

      budda19a5
    • 6 лет назад
    • 0
  • Добавить свой ответ

Войти через Google

или

Забыли пароль?

У меня нет аккаунта, я хочу Зарегистрироваться

How much to ban the user?
1 hour 1 day 100 years