• 1) Упростить выражение
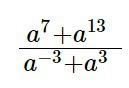
    2) Сократить дробь
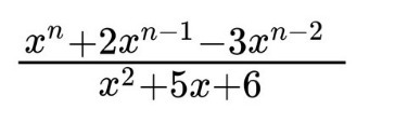
    3) Упростить выражение

    Пожалуйста с решением, просто ответ не нужен

    question img
    question img
    question img

Ответы 1

  • 1) √(8 - 2√7) = √(7 - 2 *1 *√7+ 1) = √(√7-1)^2 = /√7-1/ = √7-12) а^7 + а^13/а^-3 + а^3 = а^7(1 + а^6)/а^-3(1 + а^6) = а^10
  • Добавить свой ответ

Войти через Google

или

Забыли пароль?

У меня нет аккаунта, я хочу Зарегистрироваться

How much to ban the user?
1 hour 1 day 100 years