• Помогите решить уравнение
    С подробным объяснением, пожалуйста

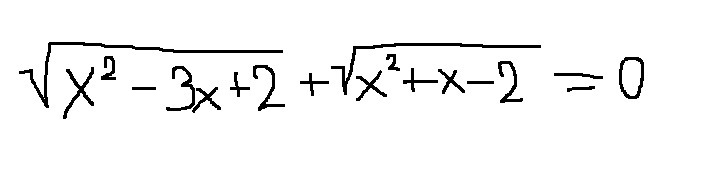
    question img

Ответы 3

  • спасибо огромное
  • на здоровье))
    • Автор:

      ottoknapp
    • 6 лет назад
    • 0
  • арифметический квадратный корень не может быть отрицательным числом (по определению))если сумма двух неотрицательных чисел равна нулю, то это возможно только когда оба слагаемых равны нулю))например, +5+5≠0только +5-5=0, т.е. одно из слагаемых должно быть отрицательным (чтобы сумма была равна нулю)))или оба слагаемых равны нулю: 0+0=0получим систему:х² - 3х + 2 = 0х² + х - 2 = 0------------------система1) по т.Виета корни: (+2) и 12) по т.Виета корни: (-2) и 1т.к. равны нулю должны быть оба уравнения одновременно, тоОтвет: х=1
    • Автор:

      lindanieq
    • 6 лет назад
    • 0
  • Добавить свой ответ

Войти через Google

или

Забыли пароль?

У меня нет аккаунта, я хочу Зарегистрироваться

How much to ban the user?
1 hour 1 day 100 years