• Помогите с алгеброй пожалуйста!
    Тема: Свойства степени с целым показателем.

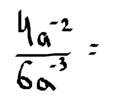
    question img

Ответы 1

  •  \frac{4a^{-2}}{6a^{-3}}=  \frac{4}{6}*a^{-2-(-3)} =  \frac{2}{3}a^{-2+3}= \frac{2}{3}a
    • Автор:

      lorelai
    • 6 лет назад
    • 0
  • Добавить свой ответ

Еще вопросы

Войти через Google

или

Забыли пароль?

У меня нет аккаунта, я хочу Зарегистрироваться

How much to ban the user?
1 hour 1 day 100 years