• Помогите пожалуйста решить систему уравнений методом введения новой переменной. Буду очень благодарен

    Блиц опрос по алгебре, 9 класс.

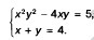
    question img

Ответы 2

  • Решение на фото. Делаем замену ху=t
    answer img
    • Автор:

      quinn31
    • 6 лет назад
    • 0
  • xy*(xy-4)=5⇒1)xy-4=1 U xy=52)xy-4=-5 U xy=-11){xy=5{x+y=4x=4-y4y-y²=5y²-4y+5=0D=16-20=-4<0 нет решения2){xy=-1{x+y=4x=4-y4y-y²=-1y²-4y-1=0D=16+4=20y1=(4-2√5)/2=2-√5⇒x1=4-2+√5=2+√5y2=2+√5⇒x2=4-2-√5=2-√5Ответ (2+√5;2-√5);(2-√5;2+√5) 
    answer img
  • Добавить свой ответ

Войти через Google

или

Забыли пароль?

У меня нет аккаунта, я хочу Зарегистрироваться

How much to ban the user?
1 hour 1 day 100 years