• Логарифмическое неравенство
    Заранее огромное спасибо!

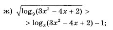
    question img

Ответы 2

  • Спасибо Вам большое!!!
    • Автор:

      parker2
    • 6 лет назад
    • 0
  • Сразу напрашивается замена log_{3}(3x^2-4x+2)=t. Тогда \sqrt{ \frac{1}{2} t} \ \textgreater \ t-1Если t<1 неравенство выполняется при любом t≥0. Значит часть решения выглядит так: 0≤t<1Если t≥1 мы имеем право возвести обе части в квадрат: \frac{1}{2}t\ \textgreater \ t^2-2t+1 \\ 
2t^2-5t+2\ \textless \ 0 \\ 
 \frac{1}{2} \ \textless \ t\ \textless \ 2
 Объединим оба полученных промежутка и получим 0≤t<2. Возвращаемся к замене:0 \leq log_{3}(3x^2-4x+2)\ \textless \ 2 \\ log_31\  \leq  log_{3}(3x^2-4x+2)\ \textless \ log_39 \\ 1\  \leq  3x^2-4x+2\ \textless \ 9Решаем и получаем ответ: (-1; 1/3] U [1; 7/3)
    • Автор:

      cubbyaiuc
    • 6 лет назад
    • 0
  • Добавить свой ответ

Еще вопросы

Войти через Google

или

Забыли пароль?

У меня нет аккаунта, я хочу Зарегистрироваться

How much to ban the user?
1 hour 1 day 100 years