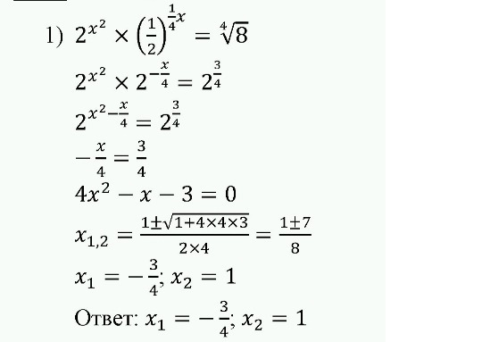
• Объясните,пожалуйста, почему во второй строчке, где второй множитель, получается 2 в -х/4 степени ?

    question img

Ответы 1

  • Потому что 1/2 это то же самое что и 2^(-1). При возведении степени в степень показатели перемножаются
    • Автор:

      abelzz5z
    • 6 лет назад
    • 0
  • Добавить свой ответ

Еще вопросы

Войти через Google

или

Забыли пароль?

У меня нет аккаунта, я хочу Зарегистрироваться

How much to ban the user?
1 hour 1 day 100 years