Помогите упростить выражение!! И решите его по действиям!!!Желательно решить на листочке и добавить во вложения!
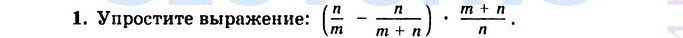
(n/m- n / m+n) m+n/n
((m+n)/m)-1
m+n-m/m=n/m
Автор:
gracieДобавить свой ответ
Предмет:
МатематикаАвтор:
yaretzichristianОтветов:
Смотреть
Расскажите (подробно) как повлиял Платон Каратаев на взгляды Пьера Безухова? Как изменила взгляды Пьера встреча с Платоном? Судьба Платона.
по роману Л.Н.Толстого "Война и Мир".(том 4)
Это не сочинение,а развернутый ответ на вопрос.
Предмет:
ЛитератураАвтор:
maeОтветов:
Смотреть
дана арифметическая прогрессия {a^n} вычислите сумму 11 членов ,если a^6=-3, d=3 помогите пожалуйста
Предмет:
АлгебраАвтор:
rebekahpageОтветов:
Смотреть
Предмет:
ФизикаАвтор:
brooklynngardnerОтветов:
Смотреть