• Пишите максимально подробное решение, кто правильно решит и подробно, тому лучшего

    question img

Ответы 6

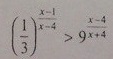
  • 3^[(x-4)/(x-1)]>3^[(2x-8)/(x-4)](x-4)/(x-1)>(2x-8)/(x+4)
  • Здесь знак неравенства не должен измениться?
  • На <
    • Автор:

      dixiehays
    • 6 лет назад
    • 0
  • основание больше 1,знак не меняется
    • Автор:

      dearey
    • 6 лет назад
    • 0
  • 3^[(x-4)/(x-1)]>3^[(2x-8)/(x-4)] Справа знаменатель знак + а не минус))
    • Автор:

      holden265
    • 6 лет назад
    • 0
  • ОДЗ x≠4 U x≠-4(3^-1)^[(x-1)/(x-4)]>3^[(2x-8)/(x-4)](1-x)/(x-4)>(2x-8)/(x+4)(2x-8)/(x+4)+(x-1)/(x-4)<0(2x²-8x-8x+32+x²-x+4x-4)/(x+4)(x-4)<0(3x²-13x+28)/(x-4)(x+4)<03x²-13x+28=0D=169-336=-167⇒выражение больше 0 при любом х⇒(x+4)(x-4)<0x=-4  x=4         +                  _                +                 -------------(-4)---------------(4)------------      x∈(-4;4)            
  • Добавить свой ответ

Войти через Google

или

Забыли пароль?

У меня нет аккаунта, я хочу Зарегистрироваться

How much to ban the user?
1 hour 1 day 100 years