• 15 баллов !)
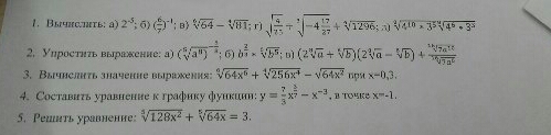
    5 корней из 128х^2+5 корней из 64х=3
    (пятое задание)

    question img

Ответы 1

  • Ответ в приложении *&/$#@!*&/$#@!
    answer img
    • Автор:

      reid48
    • 6 лет назад
    • 0
  • Добавить свой ответ

Войти через Google

или

Забыли пароль?

У меня нет аккаунта, я хочу Зарегистрироваться

How much to ban the user?
1 hour 1 day 100 years