• СРОЧНО ПОМОГИТЕ РЕШИТЬ 7 ПРИМЕРОВ или больше по желанию! Даю много баллов за задание!!!

    Тема “ Вычисление производной ” Если кто может, сфотографируйте решение и выложите картинками, буду очень признателен!!!!!

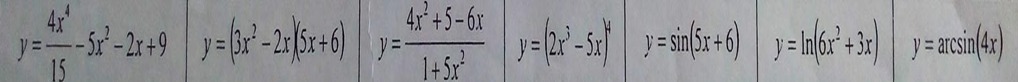
    Задание: Для функций y = f (x) найти f ’(x)

    question img

Ответы 2

  • 1y`=4/15*4x^3-5*2x+0=16x^3/15-10x2y`=(6x-2)(5x+6)+5(3x^2-2x)=30x^2+36x-10x-12+15x^2-10x=45x^2+16x-123y`=[(8x-6)(1+5x^2)-10x(4x^2+5-6x)]/(1+5x^2)^2=(8x+40x^3-6-30x^2-40x^3-50x+60x^2)/(1+5x^2)^2=(30x^2-42x-6)/(1+5x^2)^24y`=4(2x^3-5x)^3*(6x^2-5)5y`=1/(6x^2+3x)*(12x+3)=3(4x+1)/3(2x^2+x)=(4x+1)/(2x^2+x)6y`=1/ \sqrt{1-16x^2} *4=4/ \sqrt{1-16x^2}
    • Автор:

      cabrera
    • 6 лет назад
    • 0
  • 1.  \\ y'=( \frac{4}{15}x^4-5x^2-2x+9)'= \frac{4}{15}*4x^3-5*2x-2=  \\ \\ 1 \frac{1}{15}x^3-10x-2   2. \\ y'=((3x^2-2x)(5x+6))'=(3x^2-2x)'(5x+6)+(3x^2-2x)(5x+6) \\ =(6x-2)(5x+6)+(3x^2-2x)*5=45x^2+16x-123. \\ y'=( \frac{4x^2+5-6x}{1+5x^2})'= \frac{(4x^2+5-6x)'(1+5x^2)-(4x^2+5-6x)(1+5x^2)'}{(1+5x^2)^2}= \\  \\  \frac{(8x-6)(1+5x^2)-(4x^2-6x+5)*10x}{25x^4+10x^2+1}= \frac{60x^2-58x+6}{25x^4+10x^2+1}  4. \\ y'=((2x^3-5x)^4)'=4(2x^3-5x)^3(6x^2-5)=(2x^3-5x)^3(24x^2-20)5. \\ y'=(sin(5x+6))'=5cos(5x+6)6. \\ y'=(ln(6x^2+3x))'= \frac{12x}{6x^2+3x}  7. \\ y'=(arcsin4x)'= \frac{4}{ \sqrt{1-16x^2} }
    • Автор:

      lucyr7dc
    • 6 лет назад
    • 0
  • Добавить свой ответ

Войти через Google

или

Забыли пароль?

У меня нет аккаунта, я хочу Зарегистрироваться

How much to ban the user?
1 hour 1 day 100 years