• Найдите корни уравнения
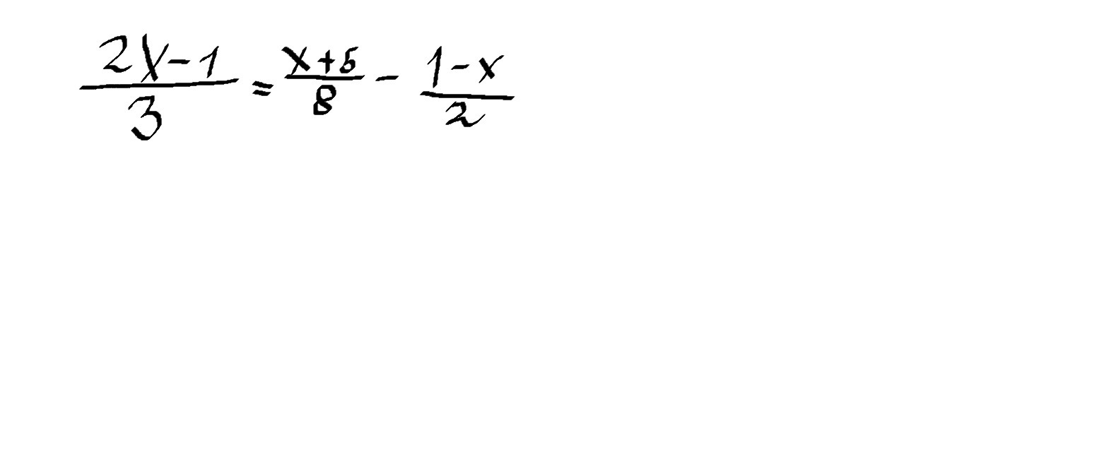
    а) картинка которую я скинул
    б)5x(12x-7)-4x(15x-11)=30+29x

    question img

Ответы 3

  • Спасибо)
    • Автор:

      kanea9we
    • 6 лет назад
    • 0
  • Решение смотри во вложении...
    answer img
    • Автор:

      ramoswyka
    • 6 лет назад
    • 0
  • а)8(2х-1) = 3(х+5)-12(1-х)16х-8=3х+15-12+12хх-11=0х=11
    answer img
  • Добавить свой ответ

Еще вопросы

Войти через Google

или

Забыли пароль?

У меня нет аккаунта, я хочу Зарегистрироваться

How much to ban the user?
1 hour 1 day 100 years