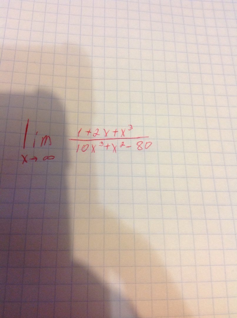
• lim (x стремится к бесконечности) 1+2x+x^3/10x^3+x^2-80
    На фото тот же пример,поэтому,если не понятно, смотрите фото.

    question img

Ответы 6

  • А что непонятно?
  • Все, честно говоря:D Не сильна я в математике
    • Автор:

      rosemary
    • 6 лет назад
    • 0
  • :) Тогда погоди.
    • Автор:

      junior13
    • 6 лет назад
    • 0
  • Спасибо,жду)
    • Автор:

      stevemkdh
    • 6 лет назад
    • 0
  • Готово
  • =lim((x^3)(1+2/x^2+1/x^3)/((x^3)(10+1/x-80/x^3))=Lim(1+2/x^2+1/x^3)/(10+1/x-80/x^2)=(1+0+0)/(10+0-0)=1/10
    answer img
    • Автор:

      rexmullen
    • 6 лет назад
    • 0
  • Добавить свой ответ

Еще вопросы

Войти через Google

или

Забыли пароль?

У меня нет аккаунта, я хочу Зарегистрироваться

How much to ban the user?
1 hour 1 day 100 years