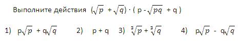
p корень из р - р корень из ку+ ку корень из р+ р корень из ку- ку корень из р + ку корень из ку= з корень из р+ ку корень из ку
Ответ : 1
Автор:
lukaucaaДобавить свой ответ
пол комнаты ,имеющей форму прямоугольника со сторонами 6 м и 10 м ,требуется покрыть паркетом из прямоугольных дощечек со сторонами 30 см и 25 см.Сколько потребуется таких дощечек?
Предмет:
МатематикаАвтор:
bug6n9iОтветов:
Смотреть
Написать сочинение на тему образа жизни людей в россий на английском языке
Предмет:
Английский языкАвтор:
james32Ответов:
Смотреть
при обычных условиях с чем может реагировать вода?
Предмет:
ХимияАвтор:
anneliese8zqtОтветов:
Смотреть