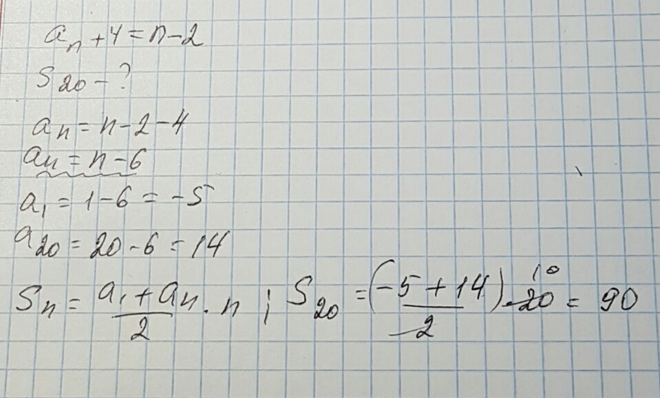
• арифметическая прогрессия задана формулой an+4 n-2 найдите сумму первых двадцати ее членов

Ответы 1

  • решение задания смотри на фотографии
    answer img
  • Добавить свой ответ

Войти через Google

или

Забыли пароль?

У меня нет аккаунта, я хочу Зарегистрироваться

How much to ban the user?
1 hour 1 day 100 years